Koristeći stranicu, pristajete na Privatnost podataka i Cookie policy.
Accept
Klik Jajce
  • Vijesti
    • Jajce
    • BiH
    • Svijet
  • Sport
  • Kultura
  • Kolumne
  • Turizam
  • Lifestyle
  • + VIŠE
    • Sci/Tech
    • Showbiz
  • Cookie Policy
  • Pocetna
Subscribe
  • Privatnost podataka
  • Cookie policy
  • Uvijeti korištenja
  • Kontakt
Nedjelja, velj 8, 2026

Klik Jajce

Sve novosti na jednom mjestu

Font ResizerAa
Pretraga
  • Vijesti
    • Jajce
    • BiH
    • Svijet
  • Sport
  • Kultura
  • Kolumne
  • Turizam
  • Lifestyle
  • + VIŠE
    • Sci/Tech
    • Showbiz
  • Cookie Policy
  • Pocetna
Follow US
Dječju vrtić “Bare” objavljuje javni poziv za upis djece u 2024/25 predškolsku godinu
Klik Jajce > Blog > Nekategorizirano > Dječju vrtić “Bare” objavljuje javni poziv za upis djece u 2024/25 predškolsku godinu
Nekategorizirano

Dječju vrtić “Bare” objavljuje javni poziv za upis djece u 2024/25 predškolsku godinu

Last updated: 18/06/2024 15:48
Share
SHARE

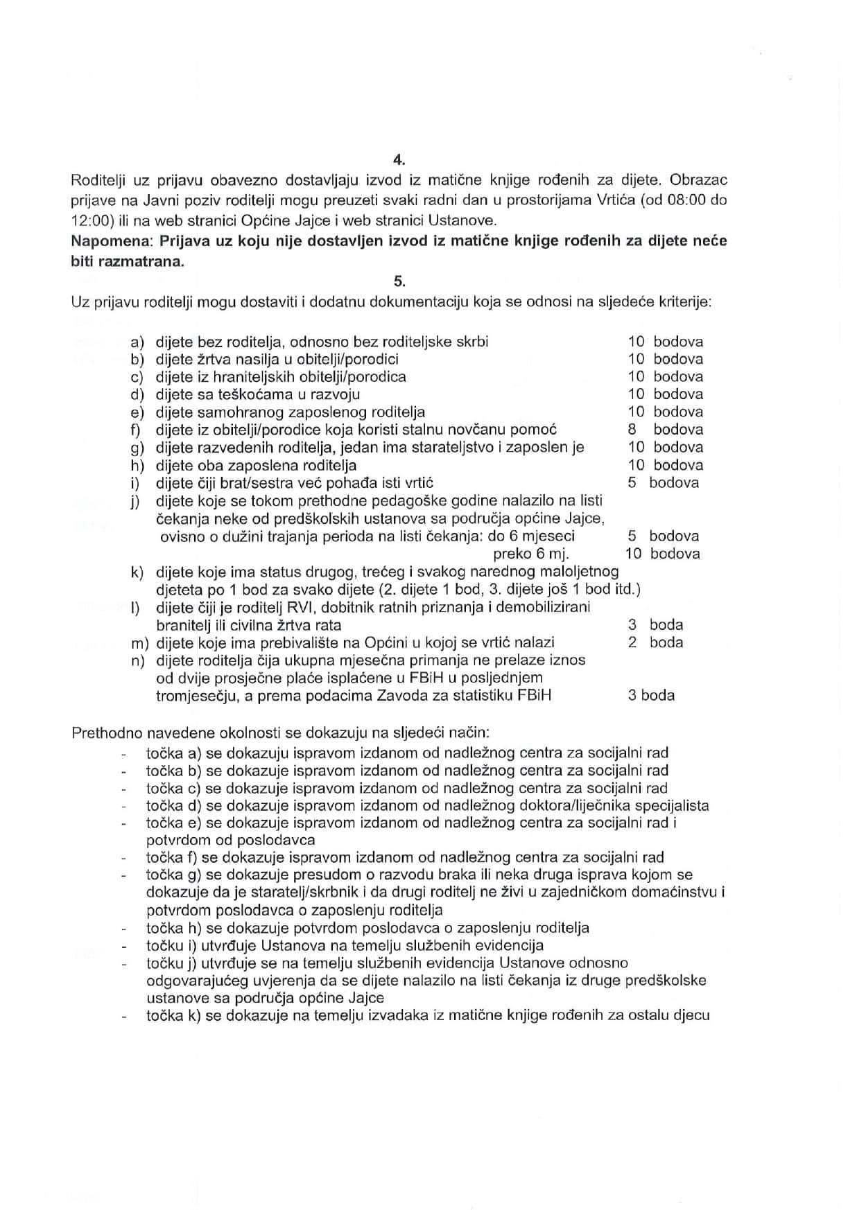
Tekst poziva i obrazac prijave možete preuzeti ispod:

 

Share This Article
Facebook Twitter Copy Link Print
Leave a comment

Odgovori Otkaži odgovor

Vaša adresa e-pošte neće biti objavljena. Obavezna polja su označena sa * (obavezno)

Nove objave

  • Što danas radi i kako izgleda Rodney iz serije ‘Mućke’? Smrt 18-godišnjeg sina duboko ga je potresla
  • U tijeku ponovljeno glasanje za predsjednika RS, zabilježeni incidenti
  • Južnu plinsku interkonekciju treba graditi američko-hrvatski konzorcij
  • BiH: U tijeku ponovljeno glasanje za predsjednika RS, zabilježeni incidenti
  • Nakon što se vratila s putovanja života, Kolinda Grabar Kitarović objavila je fotografije sa suprugom, evo gdje su bili
  • Rafali, uniforme i borbeni pokliči – ovako izgleda obilježavanje obljetnice u BiH 30 godina nakon rata
  • Franck u BiH preuzeo još dva lokalna proizvođača kave u BiH
  • Hrvatska futsal reprezentacija osvojila brončanu medalju!

You Might Also Like

Srbija u bezizlaznoj situaciji, Vučić bjesni na Hrvatsku. Izgovorena i znakovita rečenica: ‘Ona specijalna operacija…‘
EkonomijaNekategoriziranoObrana i sigurnostRegijaSvijet

Srbija u bezizlaznoj situaciji, Vučić bjesni na Hrvatsku. Izgovorena i znakovita rečenica: ‘Ona specijalna operacija…‘

8 Min Read
Održana 4. redovita sjednica OV Jajce; Smanjena cijena općinske rente za građevinsko zemljište
JajceLokalna politikaNekategorizirano

Održana 4. redovita sjednica OV Jajce; Smanjena cijena općinske rente za građevinsko zemljište

2 Min Read
Večeras spektakl: Finale jedinstvenog događaja u svijetu – izbor ‘Osobe godine’
Nekategorizirano

Večeras spektakl: Finale jedinstvenog događaja u svijetu – izbor ‘Osobe godine’

3 Min Read
VELIKI USPJEH HRVATSKE Baby Lasagna osvojio drugo mjesto i dobio najviše glasova publike
Nekategorizirano

VELIKI USPJEH HRVATSKE Baby Lasagna osvojio drugo mjesto i dobio najviše glasova publike

1 Min Read
  • Privatnost podataka
  • Uvijeti korištenja
  • Kontakt
Welcome Back!

Sign in to your account

Lost your password?